New Barbell Design: ~20% Increased Pectoralis Activity, Dumbbell-ish + Natural Movement, Lower Load, Lower Injury Risk - Is the 'Free-Grip' Barbell Worth Investing in?
![]()  | 
| Don't pre-order yet: We don't know if you are a 'responder' and even if you are whether your gains will actually benefit from allegedly increased muscle activity (eventually it's not even clear that high EMG = high motor unit activity, cf. Vigotsky 2017). The promise of achieving greater muscle activity at lower weights while embracing the strengths of barbells (stability, easily rackable) and dumbbells (natural/optimal movement pattern) is yet intriguing, I must admit 😏. | 
In the study, Andrea Melani et al. (2019) compared a new, experimental barbell to its classic counterpart and found avg. EMG increases of 19.5% for the pecs.
Learn all about training your chest/pectoralis muscle at the SuppVersity
![]()  | 
| Figure 1: The three phases of the barbell bench-press using a "free-grip barbell" (Melani 2019) | 
So, can this device really merge the strengths of barbells and dumbells?
The movement pattern is thus similar to what you'd (ideally) see with dumbells. In contrast to the classic dumbbell bench press, however, using the free-grip barbell offers trainees who have experience with the device increased stability and the potential to lift higher weights (plus: you don't need a spotter to get things going at higher weights)... that's at least what the authors believe and the data they gathered in an experiment with two female and seven male volunteers (aged 22 to 49 years—average 29.9 years) they made an important first step to confirm this hypothesis.
![]()  | 
| Figure 2: No it's no laser-sword, it's a schematic representation of the device. The handle (mobile grip) is tied to a cable (1st end, red line) that runs in the opposite direction through a pulley engaging (2nd end) the contralateral grip. A second cable (blue line) is engaged to the handles and run on the pulley at the opposite end of the barbell (Melani 2019). | 
- 
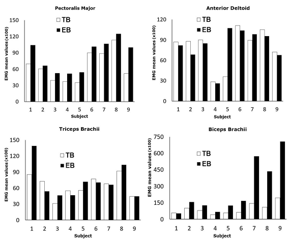
impressive increases in pectoralis major activity for the free-grip vs. fixed-grip barbell (6646.74 ± 1738.07 vs. 9056.51 ± 740.62), as well as
Figure 3: EMG analysis of upper body muscles during bench press training (Melani 2019)  - marginal increases in in anterior deltoid activity (6791.02 ± 8708.87 vs. 6840.23 ± 6503.47),
 - measurably increased triceps brachii activity (3932.57 ± 1901.41 vs. 4226.38 ± 1339.26) and
 - impressive but extremely variable increase in biceps brachii activity (1855.24 ± 972.98 vs. 4991.33 ± 8440.59).
 
What's notable (but unfortunately characteristic of EMG studies) are the huge inter-individual differences for some of the measures, which render the differences of group means statistically non-significant. Still, the authors of the study are right, when they point out that their results are generally ...
"[...] consistent with a greater involvement for the PM [pectoralis major] caused by less weight overload thanks to the constant arm-balance incidence angle and a greater muscular excursion for the same time that translates into a more efficient transfer of load." (Melani 2019)
What remains to be seen, though, is whether grabbing the free-grip barbell (pun intended) is superior to using dumbells right away. The authors themselves address this important question in the discussion where they acknowledge that "[s]ome authors could observe that similar results in peak of muscle activity could be expected with dumbbell presses" (Melani 2019). 
Does the increased activation time make free-grip barbells more effective than dumbells?
In this context, Melani et al. argue that their experimental free-grip barbell design would allow for "greater activation time[s]" compared to the classic dumbbell bench press. In that, they refer to previous research by Welsch, Bird and Mayhew (2005) "who showed that the barbell bench press determined greater activation time both in the pectoralis major and in anterior deltoid, with respect to dumbbell bench press" (Melani 2019). 
![]()  | 
| Figure 4: The fact that a 2011 study by Saeterbakken et al. found no 'pec-advantage' for the dumbbell could be a consequence of the previously discussed link between high(er) weights and greater EMG activity and the comparably lower weight that can be used on the less stable dumbbell bench press (vs. both Smith machine and barbell). | 
Bottom line: There's no debating: The 20% increased pectoralis activity Melani et al. report is exciting, a high inter-individual variability (hence the non-significance of the results) and the inconclusive if not non-existing evidence that increases in EMG activity will eventually translate to increased gains are yet reason enough not to email the researchers to obtain one of their prototypes for several hundred bucks ;-)
I cannot emphasize this enough, "greater electromyographic responses do not imply greater motor unit recruitment and 'hypertrophic potential' cannot be inferred"! The latter is, in fact, the title of an excellent letter to the editor by Vigotsky et al. (2017), in which the authors voice their (warranted) "concerns regarding the confusion of EMG amplitude with MU [motor unit] recruitment [and] note that inferring chronic adaptations from acute, mechanistic variables is very difficult." (ibid.)
With that being said, you may consider investing in a "free-grip barbell" and/or sturdy extra-grips for regular barbells in the future, especially if you're the guy/gal who has successfully used bench press machines that mimic a similar movement pattern. Let's hope that, by then, there'll be more experimental data providing evidence of (a) the superiority of the free-grip barbell over dumbells and - what's even more important - the super-barbell's ability to boost pectoralis size and strength gains over time because, let's be honest, that's what we're training for, no!? Comment!
References:
- Melani, A. "Muscle Activation in Traditional and Experimental Barbell Bench Press Exercise: A Potential New Tool for Fitness Maintenance."Sports 7:10 (2019): 224.
 - Saeterbakken, Atle H., Roland van den Tillaar, and Marius S. Fimland. "A comparison of muscle activity and 1-RM strength of three chest-press exercises with different stability requirements." Journal of sports sciences 29.5 (2011): 533-538.
 - Vigotsky, Andrew D., et al. "Greater electromyographic responses do not imply greater motor unit recruitment and ‘hypertrophic potential’cannot be inferred." The Journal of Strength & Conditioning Research 31.1 (2017): e1-e4.
 - Welsch, Elizabeth A., Michael Bird, and Jerry L. Mayhew. "Electromyographic activity of the pectoralis major and anterior deltoid muscles during three upper-body lifts." Journal of Strength and Conditioning Research 19.2 (2005): 449.
 









